Kemisk oxidation – fördjupning
För en kortare beskrivning se Översiktlig metodbeskrivning.
Tillämpning
Kemisk oxidation in situ är en kemisk nedbrytningsmetod vid vilken ett oxidationsmedel i vätske- eller gasfas tillförs det förorenade området. Oxidationsmedlet omvandlar jord- eller grundvattenföroreningen till mindre miljö- och hälsofarliga metaboliter. Vid fullständig oxidation bildas koldioxid och vatten som slutprodukter. De vanligaste oxidationsmedlen vid efterbehandling av organiska föroreningar i jord och grundvatten är:
- Katalyserad perkarbonat
- Permanganat (KMnO4 och NaMnO4)
- Fentons reagens
- Persulfat
- Ozon
Kemisk oxidation tillämpas främst för behandling av källzoner under grundvattennivån. Metoden har störst effekt på kolväten som föreligger lösta i grundvattnet. Med hjälp av olika ytaktiva ämnen (tensider) kan föroreningar som under naturliga miljöförhållanden föreligger bundna till jordpartiklar desorberas och överföras till vattenfasen. Flera av de kommersiellt tillgängliga oxidationsmedlen innehåller därför tensider. Kemisk oxidation in situ har en mycket bred tillämpning eftersom flertalet organiska föroreningsämnen i någon utsträckning är möjliga att oxidera. Exempel på föroreningar där goda eller mycket goda behandlingsresultat kunnat verifieras i fältskala med ett eller flera av de vanligast förekommande oxidationsmedlen är: alifater/monoaromater, PAH, klorerade etener, klorerade aromater, explosivämnen (RDX, HMX, TNT) och pesticider (Huling & Pivetz 2006). Det finns samtidigt föroreningsgrupper med dokumenterat hög resistens mot kemisk oxidation, t.ex. perfluorerade ämnen (PFOS, PFOA m.fl.) och PCB.
Metoden är relativt oberoende av jordlagrens kornstorlekssammansättning. Detta beror emel-lertid delvis på den hydrauliska uppspräckning som inträffar vid respektive injektionspunkt i samband med att oxidationsmedlet tillförs under kraftigt övertryck. För oxidationsmedel med långsam förbrukningstakt bidrar också diffusiv transport till oxidationsmedlets spridning i grundvattenzonen. Eftersom diffusiv transport är betingad av koncentrationsskillnader kan ”långsamverkande” oxidationsmedel tränga in även i lågpermeabla zoner.
Vanliga användningsområden för kemisk oxidation in situ är behandling av områden som förorenats av klorerade lösningsmedel, oljekolväten eller PAH. Metoden går ofta under benämningen ISCO vilket är en förkortning av den engelska benämningen In Situ Chemical Oxidation.
Status och historik
Kemisk oxidation in situ (ISCO), är idag en etablerad efterbehandlingsmetod, men betraktades fram till och med 2006 som en metod ”på experimentstadiet”, bl.a. av det amerikanska Naturvårdsverket (Huling & Pivetz 2006). Metodens betydelse har därefter vuxit och ISCO har fått ett stort kommersiellt genomslag inte minst i USA och Kanada. Under perioden 1982-2002 svarade kemisk oxidation (i kombination med kemisk reduktion) för cirka 1 % av de in situ-behandlingsprojekt som utfördes inom det statliga amerikanska efterbehandlingsprogrammet superfund (USEPA 2003). Under perioden 2005-2011 valdes kemisk in situ-behandling som behandlingsmetod vid 28 föroreningsobjekt, vilket motsvarar 21 % av samtliga in situ-behandlingsobjekt avseende källzon inom superfund (USEPA 2013). Det är dock oklart hur stor andel av dessa som avsåg kemisk oxidation eftersom även kemiska reduktionsmetoder ingår i begreppet kemisk in situ-behandling. Det bör i sammanhanget understrykas att tillämpningen av in situ-behandling för källzoner generellt varit relativt hög inom superfundprojektet. Under perioden 1982-2011 har någon form av in situ-behandling utförts vid i storleksordningen 50 % av samtliga efterbehandlingsobjekt inom superfund (USEPA 2003, USEPA 2013).
Även i Europa och i Skandinavien har tillämpningen av kemisk oxidation in situ ökat under senare år. Det är bl.a. den korta behandlingstiden – ofta i storleksordningen 3-6 månader – i kombination med höga reduktionsgrader som bidragit till en ökad acceptans för metoden. Eftersom metoden är förhållandevis ny föreligger emellertid relativt lite dokumentation eller kunskap beträffande metodens långsiktiga hållbarhet, begränsningar och eventuella återkontamineringseffekter.
Behandlingsprinciper
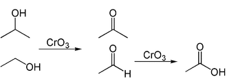
Kemisk oxidation sker vanligtvis i ett eller flera av följande tre nedbrytningssteg (se även figur 1 nedan).
- Hydroxylering. En hydroxylgrupp tillförs kolvätet som övergår till en alkohol och/eller fenol.
- Dehydrogenering. Hydroxylgruppen frigörs och kolvätet övergår till en aldehyd eller keton.
- Karboxylering. Aldehyden eller ketonen oxideras till en karboxylsyra: ättiksyra, citronsyra eller smörsyra som i sin tur bryts ned till koldioxid och vatten.
Vid nedbrytning av halogenerade kolväten ingår även halogener som jodid, klorid, fluorid och bromid i slutprodukten. Även direkt oxidation förekommer,vilket innebär att kolvätet oxideras utan bildning av OH-radikaler.

Figur 1: Bilden visar den dominerande nedbrytningskedjan vid kemisk oxidation av icke-halogenerade kolväten (t.ex. petroleumkolväten) med ozon (O3) som oxidant. Mellanprodukterna utgörs av ketoner och aldehyder, vilka i sin tur spjälkas/bryts ned till karboxylsyror.
De vanligaste oxidationsmedlen vid kemisk oxidation in situ är kalium- och natriumpermanganat, Fentons reagens (väteperoxid med tvåvärt järn), katalyserad perkarbonat, ozon och persulfat. De olika oxidationsmedlen har sinsemellan olika egenskaper vad avser effektivitet och persistens. Persulfat, Fentons reagens och ozon är starkare oxidanter än permanganat, men uppvisar samtidigt korta halveringstider (minuter till timmar) och förbru-kas därför relativt snabbt efter injektionstillfället. Kalium- och natriumpermanganat har däre-mot en förhållandevis lång halveringstid och förbrukas därför väsentligt långsammare än de övriga oxidationsmedlen. Detta medför att permanganat även hinner diffundera in i lågperme-abla zoner innan oxidationsmedlet i sin helhet förbrukats. Permanganat kan också, tack vare sin persistens, användas för plymbehandling. De tre övriga oxidationsmedlen (Fentons reagens, ozon och persulfat) används däremot nästan uteslutande för behandling av källzoner med mycket höga föroreningshalter (”hot-spots”). Ofta måste flera injektioner utföras av oxid-ationsmedlet för att tillräcklig föroreningsreduktion ska uppnås, se även Tabell 1 beträffande oxidationsmedlens tillämpbarhet.
Tabell 1: Översikt över de vanligaste kemiska oxidationsmedlen och deras tillämpbarhet med avseende på grundvattenförhållanden, geologi och föroreningssituation (Huling & Pivetz, 2006). Tabellen visar de vanligaste tillämpningarna.
| Permanganat | Fentons reagens och katalyserad perkarbonat | Ozon | Persulfat | |
| Behandling av källzon? | Ja | Ja | Ja | Ja |
| Plymbehandling? | Ja | Nej | Nej | Nej |
| Behandling av omättad zon? | Nej | Nej | Ja | Nej |
| Behandling av mättad zon? | Ja | Ja | Ja | Ja |
| Glacifluvium och grova moränjordar? | Ja | Ja | Ja | Ja |
| Silt, lera och lermoräner/moränlera? | Ja | Ja | Nej | Ja |
| Berggrund? | Ja | Ja | Ja | Ja |
Oxidationsmedlen är i allmänhet inte selektiva utan reagerar med allt förekommande organiskt material i jordmatrisen. Föroreningar som är bundna till organiskt material kan frigöras när det organiska materialet bryts ned, och halterna kan då initailt öka.
Tekniskt utförande
Huvudkomponenterna i en anläggning för kemisk oxidation in situ är:
- Blandningstank eller cistern för tillblandning eller förvaring av oxidationsmedel.
- Kompressoranläggning/pump för injektion av oxidationsmedel med övertryck.
- Injektionsrör i form av grundvattenrör av PVC eller polyetenplast vilka installeras i förborrade hål.
- Utrustning för så kallad Direct Push-teknik, innebärande att oxidationsmedlet injekteras via sondrör av stål vilka drivs ned med borrbandvagn och därefter tas upp och flyttas till nästa injektionspunkt.

Figur 2: Bilden visar en skiss över tillförsel av oxidationsmedel via perforerade/slitsade grundvattenrör. Illustration av Peter Harms-Ringdahl.
Oxidationsmedlet injekteras via slitsade/perforerade rör (modell grundvattenrör av PVC eller PEH-plast), eller genom s.k. direktinjektering via sonderingsrör av stål (direct-push-teknik). Det krävs ett relativt högt övertryck, ofta upp till 3-5 gånger det hydrostatiska trycket på injektionsnivån, för att oxidationsmedlet ska tränga ut i grundvattenakviferen. Ett så pass högt övertryck kan leda till hydraulisk uppspräckning/frakturering. Den sprick- och kanalbildning som därvid uppstår ökar oxidationsmedlets tillgänglighet, men riskerar också att leda till ökad mobilisering och spridning av den aktuella föroreningen.
De olika oxidationsmedlen levereras och bereds på delvis olika sätt. Fentons reagens levereras i vätskeform till behandlingsområdet och behöver i regel inte blandas med vätska före injektering. Oxidationsmedel baserade på permanganat och persulfat levereras i pulverform och måste blandas med vätska innan de injekteras i det förorenade området. Ozon kan endast tillföras i gasfas.
Vanliga metodkombinationer
Erfarenheten av att kombinera kemisk oxidation in situ med andra behandlingsmetoder är relativt begränsad. Fältstudier utförda i främst USA har visat att den ökning av mängden löst organisk substans i grundvattenzonen som uppkommer vid kemisk oxidation stimulerar naturligt förekommande biologiska nedbrytningsprocesser. Metoden skulle således kunna användas i kombination med stimulerad eller övervakad biologisk nedbrytning. Permanganat har emellertid visat sig hämma reduktiv deklorering genom att manganreducerande bakterier förbrukar väteatomer, vilka fungerar som elektrondonatorer vid halorespiration (Stroo et al 2012). Vid kemisk oxidation tillsätts ofta tensider, något som även görs vid jordtvätt in situ vilket gör att metoden ofta kan sägas vara en kombination med jordtvätt in situ.
Kemisk oxidation kan också kombineras med termisk in situ-behandling. Genom att tillföra värme i behandlingsområdet desorberas partikelbundna organiska föroreningsämnen, vilka därigenom görs tillgängliga för kemisk oxidation i vattenlöslig fas eller i gasfas (Stroo et al 2012).
Projekteringsaspekter
Föroreningens utbredning i yt- och djupled måste vara noggrant kartlagd innan ett behandlingssystem för kemisk oxidation in situ projekteras. Särskilt viktigt är att källzonerna identifieras och kartläggs i detalj med avseende på utbredning. Resultaten från utredningarna bör sammanställas i en konceptuell hydrogeologisk modell. Övriga underlag som erfordras för projektering/design av in situ-behandling baserad på kemisk oxidation är uppgifter om (Dombrowski et al 2010):
- Föroreningens koncentration och kemiska sammansättning med särskilt fokus på ingående ämnens resistens mot kemisk oxidation.
- Föroreningens fasfördelning med särskilt fokus på andelen förorening som föreligger i vattenlöslig respektive partikelbunden/adsorberad fas.
- Grundvattnets fysikaliska och kemiska egenskaper med särskilt fokus på pH, konduktivitet, temperatur, andelen löst syre och redoxpotential.
- Grundvattnets och jordmatrisens naturliga innehåll av organisk substans.
- Jordlagerföljd med fokus på permeabla och impermeabla zoner eller skikt
- Jordmatrisens egenskaper med avseende hydraulisk konduktivitet och gaspermeabilitet (vid oxidation med ozon).
För att projektera ett behandlingssystem i full skala baserat på kemisk oxidation erfordras i allmänhet både inledande bänkskaleförsök, för att klarlägga hur snabbt det tilltänkta oxidation-smedlet förbrukas, och inledande pilotskaleförsök med syfte att klarlägga oxidationsmedlets behandlingseffekt på den aktuella föroreningen. Även effekten av att tillföra ytaktiva ämnen kan behöva utprovas i bänk- och pilotskala som underlag för projektering av ett behandlingssystem i full skala. Vanligt förekommande inför fullskalebehandling är också injektionsförsök med vatten för att avgöra om behandlingen ska göras via förinstallerade grundvattenrör eller genom direktinjektering via sondrör av stål (Bergman 2013).

Figur 3: Pilotskaleförsök med kemisk oxidation för behandling av oljeförorening i jord och grundvatten vid f.d. militärt drivmedelslager i Alvesta kommun. På bildens syns blandningstankar för oxidationsmedel, injektionsbrunnar av PEH-plast och kompressoranläggning för injektion av oxidationsmedel Foto: RGS 90.
Behandlingsförutsättningar
Av översikten i Tabell 1 ovan framgår att metoden kan tillämpas både i berggrund och i lösa jordlager och att den är relativt oberoende av jordlagrens kornstorlekssammansättning. Det senare beror dock till stor del på att hydraulisk uppspräckning kring injektionsbrunnarna bidrar till en lokalt ökad hydraulisk konduktivitet i markområdet. För oxidationsmedel med långsam förbrukningstakt bidrar också diffusiv transport till oxidationsmedlets spridning i grundvattenzonen. Metoden är i stort sett oberoende av klimatförhållanden och är möjlig att tillämpa i såväl kallt klimat som vintertid i tempererade zoner.
Då metoden började användas kommersiellt kunde kemisk oxidation endast tillämpas på or-ganiska föroreningar i vattenlöslig fas. Genom inblandning av ytaktiva ämnen/tensider kan en relativt stor del av den förorening som inledningsvis föreligger bunden till jordmatrisen överföras till vattenfasen, och därmed göras tillgänglig för oxidationsmedlet. Fentons reagens/väteperoxid, persulfat och permanganat används nästan uteslutande i grundvatten-zonen/mättad zon, medan ozon också kan användas för behandling i den omättade zonen. I de fall behandlingen ska omfatta både källzon och spridningsplym bör ett oxidationsmedel med hög persistens/långsam förbrukningstakt väljas, t.ex. permanganat.
Nästan alla grupper av organiska föroreningsämnen är möjliga att behandla med kemisk oxid-ation in situ. Exempel på föroreningar där goda eller mycket goda behandlingsresultat kunnat verifieras i fältskala med ett eller flera av de vanligast förekommande oxidationsmedlen är: alifater/monoaromater, PAH, klorerade etener, klorerade aromater, explosivämnen (RDX,HMX,TNT) och pesticider (Huling & Pivetz 2006). Några föroreningsgrupper, bl.a. perfluorerade ämnen (PFOS, PFOA m.fl.) och PCB har, i såväl bänkskaleförsök som i fältförsök, visat sig vara per-sistenta mot kemisk oxidation. Dock finns resultat som visar att aktiverad persulfat och Fen-tons reagens under gynnsamma miljöbetingelser förmår bryta ned PFOS och att en reduktionsgrad/nedbrytningsgrad överstigande 97,5 % skulle vara möjlig att uppnå (Hawley et al 2012). Studierna visar emellertid samtidigt att oxidationen av PFOS fungerar väsentligt sämre vid de miljöförhållanden avseende pH-värde, redoxpotential och organisk halt som normalt föreligger i en grundvattenakvifer. Kol-fluorbindningen betraktas allmänt som en av de starkaste bindingarna inom den organiska kemin. Orsaken är främst fluoratomens höga elektronegativitet i kombination med dess lilla atomradie.
Sammantaget innebär den starka kol-fluorbindningen att fluorerade kolväten generellt uppvisar högre resistens mot både kemisk och biologisk nedbrytning än t.ex. flertalet klorerade kolväten (FOI 2013). Beträffande PCB så har Fentons reagens, aktiverad persulfat och peroxon (ozon i kombination med H2O2) i enstaka bänkskaleförsök visat sig kunna bryta ned PCB, medan resultaten i fältskala varit mindre lovande (Huling & Pivetz 2006).
Sammantaget visar ett flertal referensprojekt att kemisk oxidation in situ vid rätt betingelser är en mycket verkningsfull efterbehandlingsmetod för ett stort antal organiska föroreningsämnen, ofta med reduktionsgrader överstigande 95 %. Metoden är dessutom i stort sett oberoende av föroreningens volatilitet, d.v.s. såväl flyktiga kolväten (VOC) som halvflyktiga kolväten (semi-VOC) och icke-flyktiga kolväten kan behandlas med gott resultat i en och samma behandlingskampanj.
Åtgärdsmål/åtgärdskrav vid kemisk oxidation in situ bör avse massreduktion i jord och/eller grundvatten, och därigenom sänkta halter, efter genomförd behandling. I de fall föroreningarna utgörs av lättflyktiga organiska ämnen bör åtgärdsmålen även inkludera VOC i porgas. Vid ofullständig kemisk oxidation kan metaboliter/nedbrytningsprodukter uppkomma, vilket bör beaktas då åtgärdsmål/ åtgärdskrav upprättas.
Drift och uppföljning
Behandlingsresultatet vid kemisk oxidation följs upp på i huvudsak två sätt (Dombrowski et al 2010):
- Provtagning/analys med avseende på de föroreningar som behandlas.
- Geokemisk karakterisering
Provtagning med avseende på föroreningsinnehåll utförs i kontrollbrunnar/grundvattenrör in-stallerade inom behandlingsområdet. Även jord- och porgasprovtagning bör utföras. Utöver analys av de föroreningsämnen som behandlas bör även möjliga nedbrytningsprodukter/ meta-boliter analyseras. Provtagning bör utföras vid minst ett par tillfällen efter den inledande injekt-ionen av oxidationsmedel. Detta för att ”fånga upp” eventuella återkontamineringseffekter (Dombrowski et al 2010).
Den geokemiska karakteriseringen syftar till att klarlägga persistensen och spridningen av det tillsatta oxidationsmedlet och omfattar bl.a.
- pH och konduktivitet
- Redoxpotential
- Koncentrationen av löst syre i grundvattnet
- Analys av oxidationsmedlets koncentration i grundvattenzonen (inklusive nedbrytnings-produkter)
Den geokemiska karakteriseringen måste ske med högre frekvens än provtagning/analys med avseende på föroreningshalter. Detta för att entreprenören snabbt ska kunna avgöra behovet av ytterligare injektering av oxidationsmedel (Dombrowski et al 2010).
Miljö- och hälsoaspekter
Betydande miljö- och hälsorisker föreligger framförallt vid användning av oxidationsmedel baserade på väteperoxid, t.ex. Fentons reagens. Detta p.g.a. att sönderfall av H2O2 kan leda till en exoterm reaktion med snabb värmeutveckling. Incidenter och olyckshändelser med kraftig gasutveckling och nedsmältning av PVC-rör finns rapporterade i den internationella efterbehandlingslitteraturen (Huling & Pivetz 2006).
Riskerna med väteperoxid kan minimeras genom kontrollerad/försiktig tillförsel av oxidationsmedlet via rör av rostfritt stål eller termiskt härdad polyetenplast. Grundvattentemperaturen måste fortlöpande kontrolleras och tillförseln av väteperoxid/Fentons reagens omedelbart avbrytas om kraftig temperaturstegring noteras. För att minska problem med kraftig temperaturhöjning kan oxidationsmedel med långsamt avgi-vande av väteperoxid användas.
Kemisk oxidation leder, oavsett vilket oxidationsmedel som används, till höga koldioxidhalter i grundvattnet, vilket kan påverka grundvattenkvaliteten negativt samt medföra att grundvattenakiferens hydrauliska konduktivitet reduceras. Vid användning av permanganat som oxidationsmedel kan utfällning av manganoxider leda till igensättning av porsystemet i delar av grundvattenakviferen. Ett minskat eller förändrat grundvattenflöde kan därigenom uppkomma.
Beträffande behov av skyddsutrustning och arbetsmiljöfrågor i samband med efterbehandling av förorenade områden hänvisas läsaren till SGF rapport 1:2022 – Marksanering – Om hälsa och säkerhet vid arbete i förorenade områden.
Energi- och resursaspekter
Vid kemisk oxidation förbrukas energi i samband med tillblandning av oxidationsmedel (eventuellt i kombination med tensider/ytaktiva ämnen), samt vid installation av injektionsrör/brunnar. Störst energiåtgång bedöms ske i samband med installation av injektionsrör/brunnar, detta mot bakgrund av att brunnarna ofta behöver sättas med litet avstånd inom en förhålladendevis stor areal. Det är inte ovanligt att mer än 100 st injektionsbrunnar installeras då en källzon ska behandlas med kemisk oxidation. Energi- och resursbesparing kan här ske genom tillämpning av s.k. direktinjektering (direct-push) av oxidationsmedlet, varvid bränsleförbrukning och energiåtgång vid installationsarbetet bedöms kunna reduceras med upp till 50-60 % i jämförelse med installation av konventionella brunnar och/eller grundvattenrör i motsvarande injektionspunkter (Dombrowski et al 2010).
Kostnadsaspekter
Kostnaderna för kemisk oxidation varierar inom ett relativt brett intervall beroende av bl.a. val av oxidationsmedel, antalet injektionsrör/injektionspunkter, behovet av säkerhetsarrangemang i samband med injektionen av oxidationsmedlet, antalet injektionsomgångar samt vald injektionsmetod (direktinjektering är i regel mindre kostsamt än injektion via förinstallerade grundvattenrör).
För- och nackdelar
Fördelar
- Metoden är möjligt att använda på verksamheter i drift, under byggnader, mm.
- Potential för snabb behandling. Betydande massreduktion kan uppnås under relativt kort tid (veckor-månader).
- Utnyttjande av diffusionsbetingad transport i kombination med hydraulisk uppspräckning medför att metoden är relativt oberoende av permeabilitetsförhållanden och kan tillämpas även i lågpermeabla zoner.
Nackdelar
- Betydande hälso- och säkerhetsrisker föreligger med vissa typer av oxidationsmedel, vilket kan medföra omfattande säkerhetsarrangemang.
- Oxidationsmedlen är i allmänhet inte selektiva utan reagerar med allt förekommande organiskt material i jordmatrisen. Detta medför att relativt stora mängder oxidationsmedel måste tillföras vilket i sin tur påverkar kostnadsbilden.
Referenser
Huling, S.G. & Pivetz, B.E., 2006. In-situ Chemical Oxidation. USEPA Engineering Issue. EPA/600/R-06/072. 2006.
United States Environmental Protection Agency (USEPA), 2003: Superfund remedial actions: Source control treatment projects. (FY 1982-2002). 2003.
United States Environmental Protection Agency (USEPA), 2013. Superfund Remedy Report Fourteenth Edition. EPA 542-R-13-016. November 2013.
Stroo et al, 2012: Chlorinated ethane source remediation: lessons learned. Environmental Science & Technology 2012, 46, 6438-6447
Dombrowski et al, 2010: Fast track remedial design of fullscale ISCO application using pilot scale testing and field screening parameters. Proceedings of the annual international conference on soils, sediments, water and energy. Volume 15. Issue 1. Article 16.
Jonny Bergman, 2013: Muntlig information. Jonny Bergman, teknisk chef vid RGS 90 Sverige AB.
Hawley et al, 2012: Remediation technologies for perfluorinated compounds (PFCs), including perflurorooctanesulfonate (PFOS) and perfluorooctanoic acid (PFOA). ARCADIS 2012. www.arcadis.com.
Totalförsvarets Forskningsinstitut (FOI), 2013. Perfluorerade ämnen i jord, grundvatten och ytvatten – riskbild och åtgärdsstrategier. FOI-R–3705–SE. 2013.
